トップ > 県政情報 > 統計 > 生活統計 > 学校保健統計調査(過去の調査結果) > 平成21年度学校保健統計調査結果~調査結果の概要 > 発育状態調査結果(平成21年度学校保健統計調査結果)
掲載開始日:2010年1月8日更新日:2010年1月8日
ここから本文です。
| 区分 | 身長(センチメートル) | 体重(キログラム) | 座高(センチメートル) | |||||||
|---|---|---|---|---|---|---|---|---|---|---|
| 男子 | 女子 | 差 | 男子 | 女子 | 差 | 男子 | 女子 | 差 | ||
| A | B | A-B | A | B | A-B | A | B | A-B | ||
| 幼稚園 | 5歳 | 110.5 | 109.4 | 1.1 | 19 | 18.6 | 0.4 | 61.9 | 61.4 | 0.5 |
| 小学校 | 6歳 | 116.4 | 115.5 | 0.9 | 21.6 | 20.9 | 0.7 | 64.6 | 64.1 | 0.5 |
| 7歳 | 122.5 | 121.7 | 0.8 | 24.1 | 23.7 | 0.4 | 67.4 | 67.2 | 0.2 | |
| 8歳 | 128.1 | 127.5 | 0.6 | 27.5 | 26.6? | 0.9 | 70.2 | 70 | 0.2 | |
| 9歳 | 133 | 133.4 | -0.4 | 30.6 | 29.8 | 0.8 | 72.4 | 72.6 | -0.2 | |
| 10歳 | 138.8 | 140.1 | -1.3 | 34.2 | 34.8 | -0.6 | 74.9 | 75.9 | -1 | |
| 11歳 | 145.2 | 146.7 | -1.5 | 38.7 | 39 | -0.3 | 77.7 | 79.1 | -1.4 | |
| 中学校 | 12歳 | 152.6 | 151.3 | 1.3 | 45 | 44.1 | 0.9 | 81.2 | 81.6 | -0.4 |
| 13歳 | 159 | 154.4 | 4.6 | 49 | 47.9 | 1.1 | 84.4 | 83.5 | 0.9 | |
| 14歳 | 163.7 | 156.1 | 7.6 | 53.4 | 50.2 | 3.2 | 87.3 | 84.6 | 2.7 | |
| 高等学校 | 15歳 | 168.1 | 157 | 11.1 | 58.6 | 52.3 | 6.3 | 89.9 | 85.3 | 4.6 |
| 16歳 | 169.3 | 157.2 | 12.1 | 61 | 54 | 7.0 | 90.7 | 85.4 | 5.3 | |
| 17歳 | 170.1 | 157.5 | 12.6 | 62.5 | 53.9 | 8.6 | 91.2 | 85.4 | 5.8 | |
注1)年齢は、平成21年4月1日現在の満年齢である。
注2)太文字部分は過去最高値である。(昨年までの過去最高値と同値のものは除く)


| 区分 | 身長(センチメートル) | 体重(キログラム) | 座高(センチメートル) | 身長に占める足の長さの割合 (パーセント) |
|||||||||
|---|---|---|---|---|---|---|---|---|---|---|---|---|---|
| 21年 | 54年 | 差 | 21年 | 54年 | 差 | 21年 | 54年 | 差 | 21年 | 54年 | 差 | ||
| A | B | A-B | A | B | A-B | A | B | A-B | A | B | A-B | ||
| 幼稚園 | 5歳 | 110.5 | 109.5 | 1 | 19 | 18.5 | 0.5 | 61.9 | 61.9 | 0 | 44 | 43.5 | 0.5 |
| 小学校 | 6歳 | 116.4 | 114.9 | 1.5 | 21.6 | 20.2 | 1.4 | 64.6 | 64.5 | 0.1 | 44.5 | 43.9 | 0.6 |
| 7歳 | 122.5 | 120.4 | 2.1 | 24.1 | 22.5 | 1.6 | 67.4 | 66.9 | 0.5 | 45 | 44.4 | 0.6 | |
| 8歳 | 128.1 | 125.5 | 2.6 | 27.5 | 24.9 | 2.6 | 70.2 | 69 | 1.2 | 45.2 | 45 | 0.2 | |
| 9歳 | 133 | 130.7 | 2.3 | 30.6 | 28 | 2.6 | 72.4 | 71.5 | 0.9 | 45.6 | 45.3 | 0.3 | |
| 10歳 | 138.8 | 135.8 | 3 | 34.2 | 31.1 | 3.1 | 74.9 | 73.6 | 1.3 | 46 | 45.8 | 0.2 | |
| 11歳 | 145.2 | 141.4 | 3.8 | 38.7 | 35 | 3.7 | 77.7 | 76 | 1.7 | 46.5 | 46.3 | 0.2 | |
| 中学校 | 12歳 | 152.6 | 147.1 | 5.5 | 45 | 39.1 | 5.9 | 81.2 | 78.6 | 2.6 | 46.8 | 46.6 | 0.2 |
| 13歳 | 159 | 155.5 | 3.5 | 49 | 45.4 | 3.6 | 84.4 | 82.6 | 1.8 | 46.9 | 46.9 | 0 | |
| 14歳 | 163.7 | 161.4 | 2.3 | 53.4 | 50.4 | 3 | 87.3 | 85.6 | 1.7 | 46.7 | 47 | -0.3 | |
| 高等学校 | 15歳 | 168.1 | 165 | 3.1 | 58.6 | 54.8 | 3.8 | 89.9 | 88.2 | 1.7 | 46.5 | 46.5 | 0 |
| 16歳 | 169.3 | 167.3 | 2 | 61 | 58.1 | 2.9 | 90.7 | 89.7 | 1 | 46.4 | 46.4 | 0 | |
| 17歳 | 170.1 | 168.3 | 1.8 | 62.5 | 59 | 3.5 | 91.2 | 90 | 1.2 | 46.4 | 46.5 | -0.1 | |
| 区分 | 身長(センチメートル) | 体重(キログラム) | 座高(センチメートル) | 身長に占める足の長さの割合 (パーセント) |
|||||||||
|---|---|---|---|---|---|---|---|---|---|---|---|---|---|
| 21年 | 54年 | 差 | 21年 | 54年 | 差 | 21年 | 54年 | 差 | 21年 | 54年 | 差 | ||
| A | B | A-B | A | B | A-B | A | B | A-B | A | B | A-B | ||
| 幼稚園 | 5歳 | 109.4 | 108.9 | 0.5 | 18.6 | 18.2 | 0.4 | 61.4 | 61.4 | 0 | 43.9 | 43.6 | 0.3 |
| 小学校 | 6歳 | 115.5 | 114.3 | 1.2 | 20.9 | 19.8 | 1.1 | 64.1 | 64.2 | -0.1 | 44.5 | 43.8 | 0.7 |
| 7歳 | 121.7 | 119.8 | 1.9 | 23.7 | 22 | 1.7 | 67.2 | 66.5 | 0.7 | 44.8 | 44.5 | 0.3 | |
| 8歳 | 127.5 | 125 | 2.5 | 26.6 | 24.9 | 1.7 | 70 | 68.8 | 1.2 | 45.1 | 45 | 0.1 | |
| 9歳 | 133.4 | 131 | 2.4 | 29.8 | 27.9 | 1.9 | 72.6 | 71.6 | 1 | 45.6 | 45.3 | 0.3 | |
| 10歳 | 140.1 | 137 | 3.1 | 34.8 | 31.7 | 3.1 | 75.9 | 74.3 | 1.6 | 45.8 | 45.8 | 0 | |
| 11歳 | 146.7 | 143.5 | 3.2 | 39 | 35.8 | 3.2 | 79.1 | 77.4 | 1.7 | 46.1 | 46.1 | 0 | |
| 中学校 | 12歳 | 151.3 | 148.5 | 2.8 | 44.1 | 41 | 3.1 | 81.6 | 80.4 | 1.2 | 46.1 | 45.9 | 0.2 |
| 13歳 | 154.4 | 153.4 | 1 | 47.9 | 46.7 | 1.2 | 83.5 | 83 | 0.5 | 45.9 | 45.9 | 0 | |
| 14歳 | 156.1 | 154.7 | 1.4 | 50.2 | 48.5 | 1.7 | 84.6 | 83.9 | 0.7 | 45.8 | 45.8 | 0 | |
| 高等学校 | 15歳 | 157 | 155.2 | 1.8 | 52.3 | 50.6 | 1.7 | 85.3 | 84.6 | 0.7 | 45.7 | 45.5 | 0.2 |
| 16歳 | 157.2 | 155.6 | 1.6 | 54 | 51.6 | 2.4 | 85.4 | 84.8 | 0.6 | 45.7 | 45.5 | 0.2 | |
| 17歳 | 157.5 | 155.6 | 1.9 | 53.9 | 51.7 | 2.2 | 85.4 | 84.8 | 0.6 | 45.8 | 45.5 | 0.3 | |

| 身長(センチメートル) | 体重(キログラム) | ||||
|---|---|---|---|---|---|
| 男子 | 女子 | 男子 | 女子 | ||
| 総発育量 | 53.8 | 41.9 | 41 | 32.8 | |
| 小学校 | 6歳時 | 5.6 | 5.1 | 2.9 | 2.1 |
| 7歳時 | 5.7 | 6.3 | 2.8 | 3.5 | |
| 8歳時 | 5.5 | 5.6 | 3.6 | 3.1 | |
| 9歳時 | 5.4 | 7.4 | 3.4 | 4.6 | |
| 10歳時 | 6.1 | 6 | 4.9 | 5 | |
| 11歳時 | 6.6 | 5.3 | 5.1 | 5.3 | |
| 中学校 | 12歳時 | 7.4 | 3.1 | 5 | 2.9 |
| 13歳時 | 5.9 | 1.6 | 5.4 | 3.1 | |
| 14歳時 | 3.5 | 1.5 | 5.3 | 1.4 | |
| 高等学校 | 15歳時 | 1.4 | -0.3 | 1.8 | 1.6 |
| 16歳時 | 0.7 | 0.3 | 0.8 | 0.2 | |
| 身長(センチメートル) | 体重(キログラム) | ||||
|---|---|---|---|---|---|
| 男子 | 女子 | 男子 | 女子 | ||
| 総発育量 | 55.5 | 43.8 | 39.6 | 32.8 | |
| 小学校 | 6歳時 | 5.6 | 5.6 | 2.3 | 2.1 |
| 7歳時 | 6.4 | 5.4 | 1.7 | 2.6 | |
| 8歳時 | 4.1 | 6 | 3.5 | 2.8 | |
| 9歳時 | 5.3 | 6.3 | 2.9 | 3.7 | |
| 10歳時 | 5.8 | 7.9 | 3.8 | 5.2 | |
| 11歳時 | 6.5 | 5 | 4.5 | 4.9 | |
| 中学校 | 12歳時 | 7.8 | 3.9 | 5.8 | 4.3 |
| 13歳時 | 6.3 | 2.3 | 5.8 | 3.6 | |
| 14歳時 | 4.8 | 1.1 | 4.7 | 2.1 | |
| 高等学校 | 15歳時 | 1.9 | 0.4 | 3 | 1.6 |
| 16歳時 | 1 | -0.1 | 1.6 | -0.1 | |
注1)年間発育量とは、例えば平成3年度生まれの者の「6歳時」の年間発育量は、平成11年度調査7歳の者の体位から平成10年度調査6歳の体位を引いたものである。
注2)太字部分は、最大の年間発育量を示す。

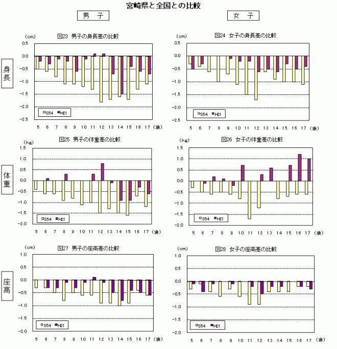
| 区分 | 身長(センチメートル) | 体重(キログラム) | 座高(センチメートル) | |||||||
|---|---|---|---|---|---|---|---|---|---|---|
| 宮崎県 | 全国 | 差 | 宮崎県 | 全国 | 差 | 宮崎県 | 全国 | 差 | ||
| A | B | A-B | A | B | A-B | A | B | A-B | ||
| 幼稚園 | 5歳 | 110.5 | 110.7 | -0.2 | 19 | 19 | 0 | 61.9 | 61.9 | 0 |
| 小学校 | 6歳 | 116.4 | 116.7 | -0.3 | 21.6 | 21.5 | 0.1 | 64.6 | 64.9 | -0.3 |
| 7歳 | 122.5 | 122.6 | -0.1 | 24.1 | 24.1 | 0 | 67.4 | 67.7 | -0.3 | |
| 8歳 | 128.1 | 128.3 | -0.2 | 27.5 | 27.2 | 0.3 | 70.2 | 70.3 | -0.1 | |
| 9歳 | 133 | 133.6 | -0.6 | 30.6 | 30.6 | 0 | 72.4 | 72.7 | -0.3 | |
| 10歳 | 138.8 | 138.9 | -0.1 | 34.2 | 34.2 | 0 | 74.9 | 75 | -0.1 | |
| 11歳 | 145.2 | 145.1 | 0.1 | 38.7 | 38.4 | 0.3 | 77.7 | 77.6 | 0.1 | |
| 中学校 | 12歳 | 152.6 | 152.5 | 0.1 | 45 | 44.2 | 0.8 | 81.2 | 81.3 | -0.1 |
| 13歳 | 159 | 159.7 | -0.7 | 49 | 49.1 | -0.1 | 84.4 | 84.9 | -0.5 | |
| 14歳 | 163.7 | 165.2 | -1.5 | 53.4 | 54.3 | -0.9 | 87.3 | 88.1 | -0.8 | |
| 高等学校 | 15歳 | 168.1 | 168.5 | -0.4 | 58.6 | 59.5 | -0.9 | 89.9 | 90.3 | -0.4 |
| 16歳 | 169.3 | 169.9 | -0.6 | 61 | 61.3 | -0.3 | 90.7 | 91.2 | -0.5 | |
| 17歳 | 170.1 | 170.8 | -0.7 | 62.5 | 63.1 | -0.6 | 91.2 | 91.8 | -0.6 | |
| 区分 | 身長(センチメートル) | 体重(キログラム) | 座高(センチメートル) | |||||||
|---|---|---|---|---|---|---|---|---|---|---|
| 宮崎県 | 全国 | 差 | 宮崎県 | 全国 | 差 | 宮崎県 | 全国 | 差 | ||
| A | B | A-B | A | B | A-B | A | B | A-B | ||
| 幼稚園 | 5歳 | 109.5 | 110 | -0.5 | 18.5 | 18.9 | -0.4 | 61.9 | 62.2 | -0.3 |
| 小学校 | 6歳 | 114.9 | 115.5 | -0.6 | 20.2 | 20.8 | -0.6 | 64.5 | 64.8 | -0.3 |
| 7歳 | 120.4 | 121.2 | -0.8 | 22.5 | 23.1 | -0.6 | 66.9 | 67.4 | -0.5 | |
| 8歳 | 125.5 | 126.6 | -1.1 | 24.9 | 25.8 | -0.9 | 69 | 69.8 | -0.8 | |
| 9歳 | 130.7 | 131.8 | -1.1 | 28 | 28.8 | -0.8 | 71.5 | 72 | -0.5 | |
| 10歳 | 135.8 | 137 | -1.2 | 31.1 | 32.2 | -1.1 | 73.6 | 74.2 | -0.6 | |
| 11歳 | 141.4 | 142.7 | -1.3 | 35 | 36 | -1 | 76 | 76.6 | -0.6 | |
| 中学校 | 12歳 | 147.1 | 148.9 | -1.8 | 39.1 | 40.6 | -1.5 | 78.6 | 79.5 | -0.9 |
| 13歳 | 155.5 | 157.2 | -1.7 | 45.4 | 46.7 | -1.3 | 82.6 | 83.5 | -0.9 | |
| 14歳 | 161.4 | 163 | -1.6 | 50.4 | 51.9 | -1.5 | 85.6 | 86.6 | -1 | |
| 高等学校 | 15歳 | 165 | 166.7 | -1.7 | 54.8 | 56.4 | -1.6 | 88.2 | 89.1 | -0.9 |
| 16歳 | 167.3 | 168.6 | -1.3 | 58.1 | 58.8 | -0.7 | 89.7 | 90.1 | -0.4 | |
| 17歳 | 168.3 | 169.4 | -1.1 | 59 | 60.2 | -1.2 | 90 | 90.6 | -0.6 | |
| 区分 | 身長(センチメートル) | 体重(キログラム) | 座高(センチメートル) | |||||||
|---|---|---|---|---|---|---|---|---|---|---|
| 宮崎県 | 全国 | 差 | 宮崎県 | 全国 | 差 | 宮崎県 | 全国 | 差 | ||
| A | B | A-B | A | B | A-B | A | B | A-B | ||
| 幼稚園 | 5歳 | 109.4 | 109.9 | -0.5 | 18.6 | 18.6 | 0 | 61.4 | 61.5 | -0.1 |
| 小学校 | 6歳 | 115.5 | 115.8 | -0.3 | 20.9 | 21 | -0.1 | 64.1 | 64.5 | -0.4 |
| 7歳 | 121.7 | 121.7 | 0 | 23.7 | 23.5 | 0.2 | 67.2 | 67.3 | -0.1 | |
| 8歳 | 127.5 | 127.5 | 0 | 26.6 | 26.5 | 0.1 | 70 | 70 | 0 | |
| 9歳 | 133.4 | 133.5 | -0.1 | 29.8 | 30 | -0.2 | 72.6 | 72.7 | -0.1 | |
| 10歳 | 140.1 | 140.3 | -0.2 | 34.8 | 34.1 | 0.7 | 75.9 | 75.9 | 0 | |
| 11歳 | 146.7 | 146.9 | -0.2 | 39 | 39 | 0 | 79.1 | 79.3 | -0.2 | |
| 中学校 | 12歳 | 151.3 | 151.9 | -0.6 | 44.1 | 43.8 | 0.3 | 81.6 | 82.1 | -0.5 |
| 13歳 | 154.4 | 154.9 | -0.5 | 47.9 | 47.3 | 0.6 | 83.5 | 83.7 | -0.2 | |
| 14歳 | 156.1 | 156.7 | -0.6 | 50.2 | 50.2 | 0 | 84.6 | 84.8 | -0.2 | |
| 高等学校 | 15歳 | 157 | 157.3 | -0.3 | 52.3 | 51.6 | 0.7 | 85.3 | 85.3 | 0 |
| 16歳 | 157.2 | 157.7 | -0.5 | 54 | 52.8 | 1.2 | 85.4 | 85.6 | -0.2 | |
| 17歳 | 157.5 | 157.9 | -0.4 | 53.9 | 52.9 | 1 | 85.4 | 85.7 | -0.3 | |
| 区分 | 身長(センチメートル) | 体重(キログラム) | 座高(センチメートル) | |||||||
|---|---|---|---|---|---|---|---|---|---|---|
| 宮崎県 | 全国 | 差 | 宮崎県 | 全国 | 差 | 宮崎県 | 全国 | 差 | ||
| A | B | A-B | A | B | A-B | A | B | A-B | ||
| 幼稚園 | 5歳 | 108.9 | 109.2 | -0.3 | 18.2 | 18.5 | -0.3 | 61.4 | 61.7 | -0.3 |
| 小学校 | 6歳 | 114.3 | 114.7 | -0.4 | 19.8 | 20.3 | -0.5 | 64.2 | 64.3 | -0.1 |
| 7歳 | 119.8 | 120.4 | -0.6 | 22 | 22.6 | -0.6 | 66.5 | 66.9 | -0.4 | |
| 8歳 | 125 | 126 | -1 | 24.9 | 25.4 | -0.5 | 68.8 | 69.4 | -0.6 | |
| 9歳 | 131 | 131.7 | -0.7 | 27.9 | 28.5 | -0.6 | 71.6 | 71.9 | -0.3 | |
| 10歳 | 137 | 138.1 | -1.1 | 31.7 | 32.5 | -0.8 | 74.3 | 74.9 | -0.6 | |
| 11歳 | 143.5 | 145 | -1.5 | 35.8 | 37.5 | -1.7 | 77.4 | 78.3 | -0.9 | |
| 中学校 | 12歳 | 148.5 | 150.2 | -1.7 | 41 | 42.2 | -1.2 | 80.4 | 81.3 | -0.9 |
| 13歳 | 153.4 | 154 | -0.6 | 46.7 | 46.7 | 0 | 83 | 83.4 | -0.4 | |
| 14歳 | 154.7 | 155.6 | -0.9 | 48.5 | 49.3 | -0.8 | 83.9 | 84.3 | -0.4 | |
| 高等学校 | 15歳 | 155.2 | 156.2 | -1 | 50.6 | 51.3 | -0.7 | 84.6 | 85 | -0.4 |
| 16歳 | 155.6 | 156.6 | -1 | 51.6 | 52.2 | -0.6 | 84.8 | 85 | -0.2 | |
| 17歳 | 155.6 | 156.7 | -1.1 | 51.7 | 52.3 | -0.6 | 84.8 | 85 | -0.2 | |

男女別に肥満傾向児(肥満度が20%以上の者)の出現率をみると、男女とも17歳で出現率が最も高く、男子12.71%、女子13.36%となっている。
また、全国と宮崎県を比べると、男子の10~11歳、13歳、15歳、女子の6歳、11歳、14歳を除いて、全国よりも出現率が高くなっている。(表8図29・30)
| 区分 | 男子 | 女子 | |||||
|---|---|---|---|---|---|---|---|
| 宮崎県 | 全国 | 差 | 宮崎県 | 全国 | 差 | ||
| 幼稚園 | 5歳 | 2.95 | 2.75 | 0.20 | 4.31 | 2.65 | 1.66 |
| 小学校 | 6歳 | 5.35 | 4.55 | 0.80 | 3.95 | 4.17 | -0.22 |
| 7歳 | 6.5 | 5.6 | 0.90 | 6.19 | 5.40 | 0.79 | |
| 8歳 | 8.23 | 7.53 | 0.70 | 8.44 | 7.05 | 1.39 | |
| 9歳 | 10.63 | 9.57 | 1.06 | 8.6 | 7.58 | 1.02 | |
| 10歳 | 10.39 | 10.76 | -0.37 | 10 | 8.26 | 1.74 | |
| 11歳 | 10.5 | 10.61 | -0.11 | 7.95 | 8.74 | -0.79 | |
| 中学校 | 12歳 | 12.29 | 11.49 | 0.80 | 10.2 | 9.04 | 1.16 |
| 13歳 | 9.11 | 9.71 | -0.6 | 8.24 | 8.13 | 0.11 | |
| 14歳 | 9.6 | 9.55 | ?0.05 | 6.9 | 8.21 | -1.31 | |
| 高等学校 | 15歳 | 8.45 | 12.11 | -3.66 | 9.43 | 8.47 | 0.96 |
| 16歳 | 11.93 | 11.2 | 0.73 | 11.47 | 8.27 | 3.20 | |
| 17歳 | 12.71 | 11.17 | 1.54 | 13.36 | 8.35 | 5.01 | |
注1)肥満傾向児とは、性別・年齢別・身長別標準体重から肥満度を求め、肥満度が20%以上の者である。
肥満度=(実測体重-身長別標準体重)/身長別標準体重×100(%)
注2)太字部分は、最大の出現率を示す。

男女別に痩身傾向児(肥満度が-20%以下の者)の出現率をみると、男子は17歳、女子は9歳で出現率が高く、男子は2.73%、女子は3.42%となっている。
また、全国と宮崎県を比べると、男子の5歳、8歳、12歳、17歳、女子の7歳、9歳を除いて全国よりも出現率が低くなっている。(表9図31・32)
| 区分 | 男子 | 女子 | |||||
|---|---|---|---|---|---|---|---|
| 宮崎県 | 全国 | 差 | 宮崎県 | 全国 | 差 | ||
| 幼稚園 | 5歳 | 2.95 | 2.75 | 0.20 | 4.31 | 2.65 | 1.66 |
| 小学校 | 6歳 | 5.35 | 4.55 | 0.80 | 3.95 | 4.17 | -0.22 |
| 7歳 | 6.5 | 5.6 | 0.90 | 6.19 | 5.40 | 0.79 | |
| 8歳 | 8.23 | 7.53 | 0.70 | 8.44 | 7.05 | 1.39 | |
| 9歳 | 10.63 | 9.57 | 1.06 | 8.6 | 7.58 | 1.02 | |
| 10歳 | 10.39 | 10.76 | -0.37 | 10 | 8.26 | 1.74 | |
| 11歳 | 10.5 | 10.61 | -0.11 | 7.95 | 8.74 | -0.79 | |
| 中学校 | 12歳 | 12.29 | 11.49 | 0.80 | 10.2 | 9.04 | 1.16 |
| 13歳 | 9.11 | 9.71 | -0.6 | 8.24 | 8.13 | 0.11 | |
| 14歳 | 9.6 | 9.55 | ?0.05 | 6.9 | 8.21 | -1.31 | |
| 高等学校 | 15歳 | 8.45 | 12.11 | -3.66 | 9.43 | 8.47 | 0.96 |
| 16歳 | 11.93 | 11.2 | 0.73 | 11.47 | 8.27 | 3.20 | |
| 17歳 | 12.71 | 11.17 | 1.54 | 13.36 | 8.35 | 5.01 | |
| 区分 | 男子 | 女子 | |||||
|---|---|---|---|---|---|---|---|
| 宮崎県 | 全国 | 差 | 宮崎県 | 全国 | 差 | ||
| 幼稚園 | 5歳 | 0.41 | 0.34 | 0.07 | 0.31 | 0.51 | -0.2 |
| 小学校 | 6歳 | 0 | 0.44 | -0.44 | 0.18 | 0.6 | -0.42 |
| 7歳 | 0.23 | 0.43 | -0.2 | 0.91 | 0.52 | 0.39 | |
| 8歳 | 1.48 | 1.06 | 0.42 | 1.08 | 1.18 | -0.1 | |
| 9歳 | 0.8 | 1.69 | -0.89 | 3.42 | 1.79 | 1.63 | |
| 10歳 | 1.66 | 2.57 | -0.91 | 1.99 | 2.8 | -0.81 | |
| 11歳 | 2.58 | 3.28 | -0.7 | 2.42 | 2.7 | -0.28 | |
| 中学校 | 12歳 | 2.4 | 2.38 | 0.02 | 2.98 | 4.37 | -1.39 |
| 13歳 | 0.82 | 1.68 | -0.86 | 2.07 | 3.64 | -1.57 | |
| 14歳 | 1.15 | 1.94 | -0.79 | 2.24 | 2.95 | -0.71 | |
| 高等学校 | 15歳 | 1.37 | 2.45 | -1.08 | 1.98 | 2.55 | -0.57 |
| 16歳 | 1.08 | 1.85 | -0.77 | 1.04 | 1.86 | -0.82 | |
| 17歳 | 2.73 | 1.77 | 0.96 | 1.43 | 1.69 | -0.26 | |
注1)痩身傾向児とは、性別・年齢別・身長別標準体重から肥満度を求め、肥満度が-20%以下の者である。
肥満度=(実測体重-身長別標準体重)/身長別標準体重×100(%)
注2)太字部分は、最大の出現率を示す。

総合政策部統計調査課
〒880-8501 宮崎県宮崎市橘通東2丁目10番1号
電話:0985-26-7042
ファクス:0985-29-0534
メールアドレス:tokeichosa@pref.miyazaki.lg.jp