掲載開始日:2020年3月31日更新日:2014年3月31日
ここから本文です。
家計調査の結果データから、品目別の支出金額と購入数量を都道府県庁所在市別(川崎市、相模原市、浜松市、堺市、北九州市を含む)に比較することができ、その結果は、総務省において都道府県庁所在市別ランキングとして発表されています。
食料のランキングをみると、各地域に特色があります。
例として、いくつかの品目の全国購入ランキング1位の都市を紹介します。
| 品目 | ランキング1位 | 年間購入数量 | 全国平均 |
|---|---|---|---|
| かつお | 高知市 | 4,957g | 1,002g |
| 煮干し | 長崎市 | 710g | 210g |
| かまぼこ | 仙台市 | 14,819円 | 3,046g |
| りんご | 青森市 | 35,056g | 13,315g |
| カステラ | 長崎市 | 6,643円 | 947円 |
| しゅうまい | 横浜市 | 3,091円 | 985円 |
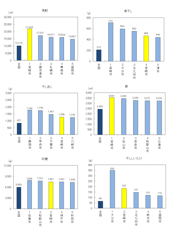
| 焼酎 | 宮崎市 | 21,825ml | 10,115ml |
次に、平成25年調査で、宮崎市が全国上位となった品目をいくつか紹介します。

総合政策部統計調査課
〒880-8501 宮崎県宮崎市橘通東2丁目10番1号
電話:0985-26-7042
ファクス:0985-29-0534
メールアドレス:tokeichosa@pref.miyazaki.lg.jp